Courbe de tarage du Las au pont Lagoubran
Accès direct :
Situation et contexte de l’étude
Caractéristiques de la station
Relevés topographiques de la station pont Lagoubran
Méthodologie des mesures de débits
Mesures des débits effectuées sur la station de jaugeage pont Lagoubran
Observations terrain suite à l’épisode pluvieux du 19/12/13 au 20/12/13
Etablissement de la courbe de tarage par calage automatique des données réelles
Extrapolation de la courbe de tarage de la station pont de Lagoubran
Établissement d’une courbe de tarage des débits du cours d’eau du Las au pont de Lagoubran
Situation et contexte de l’étude :
Dans le cadre des travaux du contrat de baie n°1 de la rade de Toulon (2002 - 2009), nous avons réalisé une campagne de jaugeage en décembre 2013 à la station «pont de Lagoubran», pour établir une courbe de tarage.
Le site instrumenté se situe sous le pont au 1221 avenue Aristide Briand à Toulon.
Mise à jour : le 17/09/25
Page réalisée : T.Lamarque
Article : T.Lamarque, P.Maurel, B.Arfib
Photos : T.Lamarque, P.Maurel
Vidéos : T.Lamarque,
Infographie : Spélé-H2O
Topographie : CDS 83
Schémas Scientifique : T.lamarque
Le pont de Lagoubran au 1221
Téléchargez l’étude
Caractéristiques de la station :
Dans ce cas présent, la section de référence est celle de l’échelle limnimétrique qu’on appellera "règle Ifremer" :
L’accès à la station est facile, se situant sous un vieux pont en arche. La règle limnimétrique se trouve accolée à la culée du pont en rive gauche, elle est bien fixée et parfaitement protégée des corps flottants. La stabilité du lit semble bonne (mi-rocheux, mi gravier) et le seuil de contrôle de la règle est stable (apposée sur un rebord béton).
En hautes eaux, la lecture se fera depuis le haut du pont, la section transversale est stable et régulière (culée du pont), donc en principe la relation hauteur-débit devrait être biunivoque et stable dans le temps.
En basses eaux, la lecture pourra se faire en bas du pont. A noter que la section de l’échelle n’est pas favorable à la mesure de bas débit, absence de seuil pour les contrôler et les jauger, le zéro de l’échelle n’étant pas en dessous du niveau des plus basses eaux connues (un affouillement et une mouille risquent de perturber les mesures, du coup la relation hauteur-débit à l’étiage risque de ne pas être biunivoque).
Le zéro de la règle n’est pas en dessous des plus basses eaux
Règle limnimétrique d’Ifremer
Pont en arche de Lagoubran
Relevés topographiques de la station pont Lagoubran :
Avant propos et localisation des sections de mesure
La relation entre hauteurs et débits Q (h) est délicate à établir lorsque le bief hydrométrique concerné présente une grande instabilité géométrique et/ou hydraulique.
Pour définir au mieux cette relation (surface de la section) et notamment dans la durée (on pourra vérifier que la section n’évolue pas dans le temps), nous avons établi 2 profils transversaux (section de la station règle Ifremer et section d’une autre station en amont du pont) et une coupe longitudinale (Règle Ifremer - amont seuil cascade). L’ensemble des tronçons ainsi que le linéaire ont été mesurés au théodolite.
Localisation des sections de mesure
Profil longitudinal station pont de Lagoubran - Amont Seuil cascade
Localisation Station pont de Lagoubran
Localisation Station Amont
Localisation Station Amont
Station Amont Seuil cascade
Profil transversal de la station pont de Lagoubran
Profil transversal de la station Amont
Profil longitudinal station pont de Lagoubran - amont seuil cascade
Méthodologie des mesures de débits :
(pour plus de précisions, voir rapport)
Les débits des cours d'eau varient en fonction du temps. On exécute alors des jaugeages aux instants choisis (étiage, moyens et hauts débits). On installe alors des stations hydrométriques appelées également stations de jaugeage.
Pour cette étude, nous avons réalisé des mesures instantanées de débits en fonction de la hauteur d’eau sur la règle limnimétrique d’Ifremer.
Nous avons expérimenté plusieurs méthodes de jaugeages, notamment pour les bas débits : jaugeage chimique (au sel et à la fluorescéine) et jaugeage au courantomètre.
Pour les moyens et hauts débits nous avons utilisé le jaugeage par dilution (fluorescéine).
Injection fluorescéine
pont des Gaux
Le fluorimètre mesure la concentration
de la fluorescéine contenue dans l’eau du Las
Jaugeage du Las au courantomètre
Mesures des débits effectuées sur la station de jaugeage pont Lagoubran :
(voir rapport)
La campagne de mesure des bas débits a débuté le vendredi 2 août 2013 et a pris fin le jeudi 19 décembre 2013.
Nous avons effectué 15 mesures de débit pour un niveau d’eau compris entre 35 cm et 37,5 cm. Nous avons utilisé différentes méthodes de jaugeage, jaugeage au sel, jaugeage à la fluorescéine et jaugeage au courantomètre.
La campagne de mesure des moyens et hauts débits a débuté le vendredi 20 décembre 2013 et a pris fin le mercredi 8 janvier 2014.
Au total, nous réalisons 26 jaugeages (dont 3 lors des essais en avril 2013) pour un niveau d’eau compris entre 41 cm et 185 cm.
Suite au vendredi 20/12/13, d’autres mesures sont faites sur la période du 26/12/13 au 08/01/14.
Observations terrain suite à l’épisode pluvieux du 19/12/13 au 20/12/13 :
-
Les précipitations ont duré une bonne partie de la nuit du 19/12/13 jusqu’au matin du 20/12/13-11h00 : il est tombé environ 65 mm.
-nous arrivons sur site vers 8h00 (station de mesure du pont de Lagoubran) sous une grosse pluie, la hauteur d’eau sur l’échelle Ifremer est égale à 76 cm.
-suite à cette pluie, nous observons une crue dite «urbaine» dans le Las, le niveau d’eau monte rapidement, il passe de 76 cm à 103 cm en 1 heure (8h50-9h50), nous effectuons 1 jaugeage à la fluorescéine. La mesure de la conductivité (256 μS/cm) montre que l’eau du Las est tout simplement l’eau de ruissellement provenant de la pluie tombée en cette matinée.
-puis s’amorce la décrue dite «urbaine», le niveau d’eau baisse rapidement au début (102 cm à 90 cm de 9h50 à 10h07) et un peu plus lentement vers la fin (90 cm à 75 cm de 9h50 à 12h19). Plusieurs jaugeages sont effectués durant cette période, 2 pendant la décrue rapide et 3 pour la décrue lente. La conductivité électrique du Las change (mesure à 11h52 = 425 μS/cm), on l’explique par le mélange des eaux du Las avec les eaux souterraines de la source de Saint Antoine et de la Baume de Dardennes.
-à 13h13 le niveau d’eau est stable (73 cm), la conductivité augmente (518 μS/cm à 14h25) due à un apport d’eau plus conséquent des sources de Saint Antoine et de la Baume de Dardennes, nous effectuons une nouvelle mesure.
-à 13h46, les techniciens de Véolia du barrage de Dardennes nous informent que le niveau d’eau de la retenue de Dardennes a atteint la côte critique (123 m) et qu’il déverse. Il en est de même pour le Ragas (l’eau sortira du gouffre de 9h45 jusqu’à 22h30).
-à 14h45, nous observons une montée rapide du cours d’eau, c’est la crue des sources de Dardennes qui arrive, le Las charrie toutes sortes de matériaux (bois, ballons, troncs, branches...), en pleine mesure nous enlevons précipitamment le fluorimètre de peur qu’il ne s’abime. Le niveau d’eau monte doucement mais surement il passe de 78 cm à 185 cm en l’espace d’1 heure (14h45=78 cm, 15h01=154 cm, 15h27=181 cm, 15h47=185 cm), la conductivité baisse (468 μS/cm à 15h47), nous attendons la fin du charriage et le début de la décrue pour faire d’autres jaugeages.
-de 16h00 à 17h00 nous effectuerons 3 nouvelles mesures pour une hauteur d’eau plus ou moins similaire (184-185 cm), la conductivité électrique se stabilise aux alentours de 468 μS/cm.
-de 17h00 jusqu’à 22h30, le cours d’eau est en décrue et le niveau descend rapidement (à 18h04=176 cm, 20h32=153cm, 22h28=145cm), nous effectuons 3 jaugeages.
à 8h50, le niveau d’eau est de 76 cm
à 9h50, le niveau d’eau est de 101 cm
Installation du matériel sous une pluie battante
à 11h55, le niveau d’eau est de 78 cm
à 10h00, le niveau d’eau est de 94 cm
à 12h19, le niveau d’eau est de 75 cm
à 13h15, le niveau d’eau est de 73 cm
à 15h01, la crue des
sources de Dardennes arrive
à 15h01, le niveau d’eau est de 154 cm
à 15h04, le niveau d’eau est de 156 cm
à 15h07, le niveau d’eau est de 166 cm
à 15h04, le niveau d’eau est de 156 cm
à 15h11, le niveau d’eau est de 170 cm
à 15h16, le niveau d’eau est de 176 cm
à 16h00, le niveau d’eau est de 186 cm
à 16h00, nous nous préparons à jauger
le niveau d’eau est de 185 cm
à 16h39, le traceur du jaugeage 9 arrive
le niveau d’eau est de 185 cm
à 16h39,
le niveau d’eau est de 185 cm
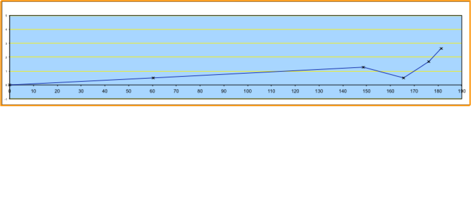
Etablissement de la courbe de tarage par calage automatique des données réelles :
Avant toute chose, il nous faut revenir sur la fiabilité des jaugeages effectués sur le terrain. La précision d’un jaugeage dépend de la hauteur d’eau qu’on associera à chaque valeur de débit mesuré et bien entendu à la rectitude des jaugeages réalisés.
En ce qui concerne, la hauteur d’eau, difficile de se tromper, puisque plusieurs photos sont réalisées avant, pendant et après la mesure de débit.
Pour les débits, nous avons éliminer 12 jaugeages, 9 pour des problèmes liés au dysfonctionnement de la méthode lors des mesures des bas débits (7 au sel et 2 à la fluorescéine à cause des rejets industriels et collectifs) et 3 pour des raisons de hauteur d’eau à trop forte variation lors de la mesure des hauts et moyens débits (les mesures 1, 2 et 3 ont été perturbées par les crues et décrues urbaines très rapides).
Malgré ces éliminations, il reste tout de même quelques incertitudes, notamment en ce qui concerne les hauts et moyens débits mesurés au fluorimètre, il y a quelques imprécisions qu’il nous faut lever (pour plus de précisions, voir rapport).
Pour la suite de ce compte rendu et pour l'équation générale de tarage, nous estimons que les bas, moyens et hauts débits ont été mesurés avec une précision de l’ordre de +/- 6%. (voir calcul dans le rapport)
Extrapolation de la courbe de tarage de la station pont de Lagoubran :
185 cm et au dessus ?
Les quelques photos qui vont suivre montrent que le niveau d’eau le plus haut atteint par 3 fois lors de notre campagne de jaugeage (décembre 2013 et janvier 2014) est en dessous de la réalité. Il s’agit d’un niveau d’eau dit "normal" et qui fait suite à des écoulements de crues banales. D’ailleurs les relevés de hauteur d’eau de la sonde de pression de l’IRSN n’a jamais dépassé les 180 cm en l’espace de 2 ans.
Bref, Les témoignages et le rapport détaillé "le Las : une rivière dans la ville" démontrent que nous ne sommes pas à l’abri de crues paroxysmales et que l’on risque fort de dépasser nos fameux 185 cm. Voici quelques photos de 1999 lors d’une crue exceptionnelle du Las.
La crue du Las de 1999 (photos du dessus) montre un niveau d’eau supérieur à celle du 19 janvier 2014 (photos du dessous). La hauteur d’eau sur l’échelle Ifremer de la station pont de Lagoubran était d’environ 180 cm lorsque nous avons pris ces photos (19/01/14 entre 8h15 et 8h30).
La hauteur d’eau maximale mesurée et associée à un débit durant cette campagne de jaugeage est de 185 cm. Au delà il faut extrapoler.
Extrapolation de la courbe de tarage
L’extrapolation du tarage vers le haut a pour objet de compléter la courbe jusqu’à la cote maximale observée.
Extrapoler une courbe, c’est d’abord s’interroger sur la continuité des conditions d’écoulement lorsque le niveau s’élève au-dessus de la hauteur maximale jaugée.
Le relevé topographique de la section transversale à la station de mesure Lagoubran-règle Ifremer montre que la largeur d'écoulement diminue pour les hauteurs d'eau situées dans l'arche du pont. La relation entre hauteur d'eau et débit va donc être affectée par la forme de la section d'écoulement. Au delà du plus haut niveau d'eau ayant permis une mesure de débit (185 cm), nous proposons une courbe de tarage non validée donnant ainsi un ordre de grandeur des débits, mais nous nous limitons arbitrairement à une hauteur maximale de 2,30 m.
230 cm
185 cm
y = 20,304 x - 11,609
y = -7,8043 x3 + 30,167 x2 - 16,512 x + 2,4636
70 cm
35 cm
L'équation proposée est une simple corrélation linéaire, ajustée sur les mesures de débits réalisées entre 70 cm et 185 cm, et formant ainsi une droite sur le graphique.
Elle servira à faire des projections pour des hauteurs d’eau dépassant 185 cm, mais çà n’engage que son utilisateur, voici donc son équation :
y = 20,304 x - 11,609
- débit simulé (linéaire, avec hauteur d’eau règle Ifremer station pont de Lagoubran supérieur à 0,7 m et inférieur à 2,3 m)
- R2 = 0,9995
- y = débit en m3/s et x = hauteur d’eau en m
Ce site web utilise les cookies. Veuillez consulter notre politique de confidentialité pour plus de détails.